发现
问答
发起
提问
文章
文章
更多
专家
讲堂
话题
财富榜
商城
Toggle navigation
首页
(current)
问答
文章
视频课程
话题
商城
搜索
登录
注册
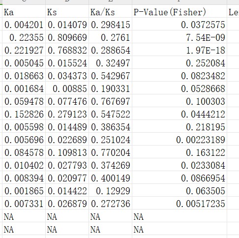
kaks结果显示NA是什么含义
0 条评论
请先
登录
后评论
默认排序
时间排序
1 个回答
omicsgene
- 生物信息
2023-12-14 20:37
擅长:重测序,遗传进化,转录组,GWAS
有些基因对差异比较大吧,计算不了
请先
登录
后评论
×
如果觉得我的回答对您有用,请随意打赏。你的支持将鼓励我继续创作!
您需要登录后才可以回答问题,
登录
或者
注册
关注
1
关注
收藏
0
收藏,
2118
浏览
陌明
提出于 2023-12-14 19:40
相似问题
×
发送私信
发给:
内容:
×
举报此文章
垃圾广告信息:
广告、推广、测试等内容
违规内容:
色情、暴力、血腥、敏感信息等内容
不友善内容:
人身攻击、挑衅辱骂、恶意行为
其他原因:
请补充说明
举报原因: